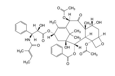
产品名称:紫杉醇EP杂质D 7-EPI-三尖杉宁碱

CAS NO.:150547-36-7

结构式:

联系方式

电话:0556-5209906 15391842992

Q Q:3506754509

邮箱:alexander9956@163.com

联系人:姚经理